Испытание бетона на сжатие и растяжение: детальное изучение методик

Бетон — это один из наиболее широко используемых строительных материалов благодаря своей прочности и долговечности. Испытание бетона на сжатие и растяжение является ключевым этапом в оценке его качества и пригодности для использования в различных строительных конструкциях. Данные испытания помогают определить механические свойства бетона, что необходимо для обеспечения надежности и безопасности строительных объектов. В данной статье будет рассмотрен процесс подготовки образцов, проведение тестов и интерпретация результатов испытаний бетона на сжатие и растяжение.

Подготовка образцов

Подготовка образцов бетона для испытаний включает несколько важных этапов, от которых зависит точность и надежность полученных результатов.

  1. Отбор проб. Пробы бетона для испытаний отбираются на стадии его укладки или непосредственно из готовых конструкций. При отборе проб важно обеспечить репрезентативность, чтобы результаты испытаний были применимы ко всей партии бетона.
  2. Формование образцов. Образцы бетона формуются в специальные формы, соответствующие стандартам (например, кубы размером 150x150x150 мм или цилиндры диаметром 150 мм и высотой ≥ d), или призмы квадратного сечения, образцы испытываются сериями. Формы должны быть чистыми и смазанными, чтобы предотвратить прилипание бетона.
  3. Уплотнение. После заливки бетон уплотняется, чтобы удалить воздух и добиться максимальной плотности. Для этого могут использоваться вибраторы или ручное уплотнение.
  4. Твердение. Образцы бетона выдерживаются в формах в течение 24 часов при температуре около 20°C и влажности не менее 90%. Затем они извлекаются из форм и помещаются в условия нормального твердения (обычно в воду при температуре 20°C±2 и влажность 95±5%) на период, установленный стандартом (обычно 28 дней).

Проведение тестов

Процесс проведения испытаний бетона на сжатие и растяжение требует использования специального оборудования и соблюдения определенных методик.

Испытание на сжатие

  1. Подготовка испытательной машины. Для испытания на сжатие используется гидравлическая пресс-машина, способная развивать высокие нагрузки. Машина должна быть откалибрована и проверена на точность.
  2. Установка образца. Образец бетона устанавливается в пресс-машину так, чтобы нагрузка прикладывалась равномерно по всей площади. Важно следить за центровкой образца, чтобы избежать перекосов и неравномерного распределения нагрузки.
  3. Приложение нагрузки. Нагрузка прикладывается постепенно и непрерывно до разрушения образца. Скорость нагружения должна соответствовать стандартам (например, 0.6 ± 0.2 МПа/с).
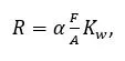
  4. Запись результатов. Максимальная нагрузка, при которой образец разрушается, фиксируется и используется для расчета прочности на сжатие по формуле:

,

где  F - разрушающая нагрузка, А – площадь поперечного сечения, α – масштабный коэффициент, Кw – поправочный коэффициент для ячеистого бетона, зависящий от влажности.

Испытание на растяжение

  1. Подготовка образца. Испытание на растяжение может проводиться на призматических или цилиндрических образцах. Часто используется метод раскалывания (бразильский тест), при котором цилиндрический образец сжимается вдоль диаметра.
  2. Установка образца. Образец устанавливается в специальное устройство, обеспечивающее равномерное приложение нагрузки вдоль линии контакта.
  3. Приложение нагрузки. Нагрузка прикладывается постепенно и равномерно до раскалывания образца. Скорость нагружения также должна соответствовать стандартам.
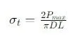
  4. Запись результатов. Максимальная нагрузка фиксируется и используется для расчета прочности на растяжение по формуле:

  ,

где  σt — прочность на растяжение, Pmax — максимальная нагрузка, D — диаметр цилиндра, L  — длина цилиндра.

Интерпретация результатов

Интерпретация результатов испытаний на сжатие и растяжение включает анализ полученных данных и их использование для оценки качества бетона.

  1. Сравнение с нормативами. Результаты испытаний сравниваются с требованиями нормативных документов (например, ГОСТ, ASTM, ISO). Если прочность бетона соответствует нормативным значениям, материал считается пригодным для использования.
  2. Анализ статистических данных. Для оценки однородности и надежности бетона проводится статистический анализ результатов нескольких образцов. Рассчитываются средние значения, дисперсия и другие статистические показатели.
  3. Выявление дефектов. На основании результатов испытаний можно выявить дефекты в составе или технологии производства бетона, такие как низкая прочность, высокая пористость или неравномерность распределения компонентов.
  4. Прогнозирование долговечности. Результаты испытаний используются для прогнозирования долговечности и надежности бетонных конструкций. Прочность на сжатие и растяжение является важным показателем, влияющим на поведение бетона под нагрузкой и его устойчивость к внешним воздействиям.

Испытание бетона на сжатие и растяжение является неотъемлемой частью контроля качества строительных материалов. Тщательная подготовка образцов, правильное проведение тестов и грамотная интерпретация результатов позволяют обеспечить высокое качество бетона и его надежность в эксплуатации. Стандарты и методики испытаний играют важную роль в установлении требований и обеспечении сопоставимости результатов, что способствует повышению общей безопасности и долговечности строительных объектов.

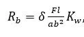
Испытание на растяжение бывает при изгибе: испытываются образцы в специальном устройстве, где образец фиксируется между шарнирно-подвижной и шарнирно-неподвижной опорой.

,

где δ – масштабный коэффициент, а, b, l – линейные размеры образца.

Определение прочности при осевом растяжении: при раскалывании нагрузку прилагают через шаровой шарнир и нагрузочную плиту.

Загрузка...
Поиск
119048, г. Москва, Комсомольский проспект, дом 42, строение 1, подъезд 2, этаж 6
Заказ в 1 клик